魚松是由魚肉肌纖維制成的絨毛狀、色澤金黃的調味干制品,而且口感酥脆、味道獨特、方便消費者食用,是一種老幼皆宜的風味休閑食品。食用菌是一類高蛋白、低脂肪、高膳食纖維且富含礦物質、微生素等營養成分及生物活性物質的功能性食品。本文將3種新鮮食用菌(金針菇、杏鮑菇和香菇)烘干后打成粉狀,然后與鯉魚魚松混合,通過對4種魚松進行感官評價、營養成分、電子鼻和電子舌等測定,從多個角度分析菌菇粉的加入對魚松品質特性的影響。
試驗材料與方法
試驗材料與儀器設備
黃河鯉;香菇、金針菇、杏鮑菇、生姜、料酒、白砂糖、食鹽、生抽、植物油等調味品。
AstreeⅡ電子舌;色彩色差計;電子鼻。
試驗方法
感官評價
從組織形態、色澤、氣味、口感和雜質5個方面對菌菇魚松進行感官評定,滿分以100分計。由10名具有一定感官評定能力的同學組成評定小組,在室溫(25℃)條件下,參照GB/T23968-2009《肉松》標準適當修改,進行感官評定,見表2。
表2 菌菇魚松感官評分標準

色澤測定
采用色差計測定菌菇魚松的色澤b*值,比較不同菌菇粉對魚松色澤的影響。
理化指標測定
水分含量、脂肪含量、蛋白質、總糖、膳食纖維參考國標進行測定。
基于電子舌對菌菇魚松的滋味品質評價
樣品處理
取樣品1g,置于錐形瓶中,加入蒸餾水定容至100ml后勻漿,靜置30min后以10000r/min離心10min,取上清液過濾,收集濾液待測。
參數設置
傳感器每秒采集一個數據,采集時間共120s,選取每根傳感器第120s的響應值進行分析(此時傳感器信號已趨于穩定)。每種樣品做4個平行。
基于電子鼻對菌菇魚松的氣味品質評價
將1g樣品置于樣品瓶中并旋緊瓶蓋,待測。參數設置:以潔凈干燥空氣為載體,流速7.747ml/min;數據采集時間為60s。每種樣品做3個平行。
結果與分析
不同添加量的菇粉對菌菇魚松的感官評價和b*值的影響
不同添加量的金針菇粉對金針菇魚松的感官評價和b*值的影響
由圖1可知,與純魚松相比,隨著金針菇粉添加量的增多,金針菇魚松的b*值呈上升趨勢,當金針菇粉添加量為30%時,金針菇魚松的感官評分達到最大值,此時30%的金針菇粉與魚松充分混勻,兼有魚松的香味和菌菇味。

圖1 金針菇粉添加量對金針菇魚松感官評分和b*值的影響
不同添加量的杏鮑菇粉對杏鮑菇魚松的感官評價和b*值的影響
由圖2可知,與純魚松相比,隨著杏鮑菇粉添加量的增多,杏鮑菇魚松的b*值呈先上升后基本保持不變的趨勢,且與金針菇魚松相比,杏鮑菇魚松的b*值變化更明顯,當杏鮑菇粉添加量為30%時,杏鮑菇魚松的感官評分達到最大值,魚松氣味佳,形態蓬松,口感鮮美,且有嚼勁。

圖2杏鮑菇粉添加量對杏鮑菇魚松感官評分和b*值的影響
不同添加量的香菇粉對香菇魚松的感官評價和b*值的影響
由圖3可知,與純魚松相比,隨著香菇粉添加量的增多,香菇魚松的b*值呈下降的趨勢,這與香菇粉本身呈黑色的原因有關。當香菇粉添加量為10%時,香菇魚松兼有魚香味和菌菇味,口感酥脆,其感官評分達到最大值,且與純魚松相比,顏色變化不顯著。因香菇本身持有的特殊氣味很重,同時香菇粉是黑色的,當再加入過多的香菇粉時,魚松的香味淡化且味苦,顏色變暗,對消費者來說,嗅覺、視覺和味覺均變差。

圖3 香菇粉添加量對香菇魚松感官評分和b*值的影響
不同菌菇魚松主要營養成分的結果分析
由表3可知,相較于各類菌菇魚松,純魚松的水分、脂肪和蛋白質含量高,總糖含量低,且不含膳食纖維。當加入金針菇、杏鮑菇和香菇后,菌菇魚松的水分、脂肪和蛋白質含量降低,這是因為菌菇粉相較于魚松,脂肪和蛋白質含量低,且干燥得更徹底;菌菇魚松的總糖和膳食纖維含量上升,這是因為食用菌富含多糖和膳食纖維。與杏鮑菇魚松和香菇魚松相比,金針菇魚松的水分、脂肪和總糖含量低,蛋白質和膳食纖維含量較高,說明其營養豐富且利于貯藏,更符合消費需求。
表3 不同菌菇魚松主要營養成分的檢測結果

基于電子舌技術分析不同菌菇魚松的滋味
由圖4可知,電子舌的7個傳感器對不同菌菇類魚松樣品均能做出不同程度的響應。其中傳感器SCS和AHS的響應信號最強,傳感器NMS的響應信號最弱。各菌菇魚松的傳感器SCS、ANS和AHS的響應信號有明顯的差異,而傳感器CPS、NMS、CTS和PKS的響應值差異不明顯。

圖4 電子舌檢測不同菌菇類魚松的雷達圖分析
不同菌菇類魚松電子舌傳感器數據的差異性分析見表4,其中AHS是酸味傳感器,PKS是咸味傳感器,NMS是鮮味傳感器,CTS、CPS、ANS和SCS均是廣譜傳感器。對于純魚松來說,電子舌對鮮味和咸味的感應較強,對酸味的感應較弱;對于金針菇魚松樣品,電子舌對鮮味的感應較強,咸味次之,酸味感應較弱;對于杏鮑菇魚松樣品,與純魚松一樣,電子舌對鮮味和咸味的感應較強,對酸味的感應較弱;對于香菇魚松樣品,電子舌對咸味的感應較強,對酸味和鮮味的感應較弱。同時由表4可知,同一傳感器對不同菌菇魚松樣品的感應值不同:其中香菇魚松的酸味感應值最大,杏鮑菇次之,金針菇魚松最小;純魚松的咸味感應值最大,香菇次之,杏鮑菇魚松最小;純魚松的鮮味感應值最大,金針菇次之,杏鮑菇最小,且4種魚松對酸味、鮮味和咸味的感應值之間的差異均顯著。與杏鮑菇魚松和香菇魚松相比,金針菇魚松能夠保持較好的鮮味,且酸味和咸味適中。
表4 不同菌菇類魚松電子舌傳感器數據的差異性分析

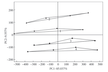
電子舌檢測不同菌菇魚松樣品的PCA和DFA分析圖見圖5和圖6。兩圖的總貢獻率均超過85%,表明試驗方法的可行性。由圖5可知,第一主成分的貢獻率為85.037%,第二主成分的貢獻率為9.557%,這兩種主要成分的累積貢獻率為94.594%,說明這兩種主成分包括菌菇魚松滋味物質的大部分信息。從PCA分析圖譜中可以看出,魚肉松和金針菇魚松分布在PCA上側部分,杏鮑菇魚松和香菇魚松分布在PCA下側部分,而且4種樣品互相之間沒有重疊,說明菌菇魚松的滋味各不相同。

圖5 電子舌檢測不同菌菇魚松的PCA分析圖譜
由圖6中的DFA圖譜可知,第一主成分貢獻率為81.301%,第二主成分貢獻率為18.475%,兩種主成分的總貢獻率為99.776%(超過85%),說明前兩種主成分可以反映絕大部分的信息。由圖6還可知,純魚松分布在右側下半部分,顯著區別于其他菌菇魚松樣品;金針菇魚松分布在右側上半部分,杏鮑菇魚松分布在左側上半部分,香菇魚松分布在左側下半部分,說明這3種菌菇魚松之間的滋味差異也顯著,是由于不同菌菇干燥后風味不同所導致。與PCA分析相比,各樣品數據的重復性好,說明DFA分析能更好地區分不同菌菇魚松的滋味。整體數據說明,菌菇粉的加入能明顯改變純魚松的滋味,且金針菇、杏鮑菇和香菇魚松之間的滋味差異也顯著。

圖6 電子舌檢測不同菌菇魚松的DFA分析圖譜
基于電子鼻技術分析不同菌菇魚松的氣味
電子鼻可測定樣品中揮發性組分的整體信息,根據各種氣味測定不同的信號,并與已建立數據庫中的信號進行比較、識別和判斷,其測定結果與人的嗅覺相比更客觀。電子鼻測試結果表明4種魚松的揮發性物質基本相同,不同菌菇魚松含有氮氧化合物成分、硫化物、萜烯類成分、有機硫化物、芳香成分較多,菌菇魚松含有的短鏈烷烴成分和乙醇成分較少,且4種魚松之間的差異不顯著。
對電子鼻采集得到的數據進行主成分分析,由圖7可知,PC1和PC2分別為96.202%和2.445%,前兩個主成分的總貢獻率為98.647%,基本涵蓋了原始數據的絕大部分信息。由圖7還可知,3種菌菇魚松均與純魚松有重疊部分,其中杏鮑菇魚松與純魚松的重疊部分較少,金針菇魚松與純魚松的重疊部分較多,這說明與金針菇、香菇魚松相比,杏鮑菇魚松能夠更好地與純魚松區分。同時香菇魚松的數據點與其他種類的魚松相比偏差較大,可能是由于香菇樣品本身存在個體的差異,對于3種菌菇類魚松,兩兩樣品之間的重疊區域均較大,說明菌菇魚松的氣味物質比較相似。

圖7 不同菌菇魚松電子鼻數據的PCA分析圖
結論
本文通過將金針菇粉、杏鮑菇粉和香菇粉加入到鯉魚魚松中,制得一款功能性菌菇魚松。并綜合感官評價、營養成分、電子舌和電子鼻分析可知,菌菇粉的加入可改變魚松的色澤、營養組分和滋味,所制得的菌菇魚松高蛋白、低脂肪,同時含有一定的膳食纖維,其口感酥脆、味道獨特。與其他兩種菌菇魚松相比,金針菇魚松具有水分、脂肪和總糖含量低,蛋白質和膳食纖維含量高,滋味和氣味佳等優勢。
來源:感官科學與評定,轉載請注明來源。
參考文獻:康曉風,閆寒,辛董董等.不同菌菇粉對鯉魚魚松品質特性的影響研究[J].中國調味品,2020,45(08):44-49.
提醒:文章僅供參考,如有不當,歡迎留言指正和交流。且讀者不應該在缺乏具體的專業建議的情況下,擅自根據文章內容采取行動,因此導致的損失,此運營方不負責。如文章涉及侵權或不愿我平臺發布,請聯系小編。




